化学纤维疵点含量
城南二哥2022-12-26 17:49:11阻燃资讯中心561来源:阻燃布料_阻燃面料网
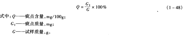
化学短纤维的含杂是指除纤维以外的夹杂物,疵点是指生产过程中形成的不正常的异状纤维。疵点包括僵丝(脆而硬的丝)、并丝(粘合在一起不易分开的数根纤维)、硬丝(由于纺丝不正常而产生的比未牵伸丝更粗的丝)、注头丝(由于纺丝不正常中段或一端呈硬块的丝)、未牵伸丝(未经牵伸或牵伸不足而产生的粗而硬的丝)、胶块(没有形成纤维的小块聚合体)、硬板丝(因卷曲机挤压形成的纤维硬块)、粗纤维(直径为正常纤维4倍及以上的单纤维)等异状纤维。疵点含量计算式:
AAA复合面料网GFHJTYJUTI


发表评论